April 05
Prof. Ismael H. F. Santos -  ismael@tecgraf.puc-rio.br                                                          2
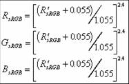
sRGB ® XYZ
illustration illustration illustration illustration illustration
S
N